|
ГОСТ 27180-86
(СТ СЭВ 4870-84)
УДК 691.43-431.001.4:006.354 Группа Ж16
ГОСУДАРСТВЕННЫЙ СТАНДАРТ СОЮЗА ССР
ПЛИТКИ КЕРАМИЧЕСКИЕ
Методы испытаний
Ceramic tiles. Test methods
ОКП 57 5200
Дата введения 1987-01-01
ИНФОРМАЦИОННЫЕ ДАННЫЕ
1. РАЗРАБОТАН Министерством промышленности строительных материалов СССР
Министерством промышленности строительных материалов Украинской ССР
ИСПОЛНИТЕЛИ
В.И.Канаева (руководитель темы); Л.С.Опалейчук, канд. техн. наук; С.Н.Зотов, канд. техн. наук; Т.Н.Солнышкина; Г.И.Зубова; Г.А.Павлова; А.С.Тимофеева, канд. техн. наук; Л.П.Черняк, канд. техн. наук; Е.М.Голик; Л.М.Лейбенгруб
ВНЕСЕН Министерством промышленности строительных материалов СССР
2. УТВЕРЖДЕН И ВВЕДЕН В ДЕЙСТВИЕ ПОСТАНОВЛЕНИЕМ Государственного строительного комитета СССР от 11 декабря 1986 г. № 47
3. ВВЕДЕН ВПЕРВЫЕ
4. ССЫЛОЧНЫЕ НОРМАТИВНО-ТЕХНИЧЕСКИЕ ДОКУМЕНТЫ
Обозначение НТД, на который дана ссылка
|
Номер пункта, подпункта, перечисления, приложения
|
ГОСТ 166-80 |
1.1, 6.1, 7.1, 14.1 |
ГОСТ 427-75 |
1.1 |
ГОСТ 882-75 |
1.1 |
ГОСТ 2156-76 |
12.1 |
ГОСТ 2874-82 |
5.1 |
ГОСТ 3118-77 |
12.1 |
ГОСТ 3584-73 |
8.1, 11.1 |
ГОСТ 3749-77 |
1.1 |
ГОСТ 4108-72 |
11.1 |
ГОСТ 4126-82 |
1.1 |
ГОСТ 4199-76 |
12.1 |
ГОСТ 4204-77 |
11.1 |
ГОСТ 4328-77 |
11.1 |
ГОСТ 6709-72 |
11.1, 12.1 |
ГОСТ 9285-78 |
12.1 |
ГОСТ 10798-85 |
5.1 |
ГОСТ 13079-81 |
12.1 |
ГОСТ 14791-79 |
12.1 |
ГОСТ 14919-83 |
5.1 |
ГОСТ 22028-76 |
7.1 |
ГОСТ 22551-77 |
7.1 |
ГОСТ 23932-79 |
11.1, 14.1 |
ГОСТ 24104-80 |
11.1 |
ГОСТ 25742.1-83 - ГОСТ 25742.4-83 |
12.1 |
Настоящий стандарт распространяется на глазурованные и неглазурованные плитки для полов, внутренней облицовки стен и отделки фасадов, изготавливаемые по соответствующей нормативно-технической документации, и устанавливает методы их испытаний.
Стандарт не распространяется на кислотостойкие и термостойкие керамические изделия.
Порядок отбора плиток для испытаний, их количество, а также виды и периодичность испытаний устанавливают и соответствии с нормативно-технической документацией на плитки конкретных видов.
1. КОНТРОЛЬ ЛИНЕЙНЫХ РАЗМЕРОВ
И ПРАВИЛЬНОСТИ ФОРМЫ
1.1. Инструменты и принадлежности
Штангенциркуль по ГОСТ 166-80.
Угольник поверочный (90°) по ГОСТ 3749-77.
Щупы по ГОСТ 882-75.
Шаблоны радиусные по ГОСТ 4126-82.
Линейка измерительная с погрешностью измерения не более 1 мм по Г0СТ 427-75.
При отсутствии стандартного измерительного инструмента допускается использование ведомственных средств измерений, поверенных в установленном порядке.
Измерения плиток (штангенциркулем, угольником, шаблонами, щупом) проводят с погрешностью не более 0,1 мм, а ковров из плиток (далее - ковров) - не более 1 мм.
Каждое измерение не должно превышать допускаемых отклонений, указанных в стандартах на изделия конкретных видов.
1.1.1. Измерение длины, ширины и толщины
Длину и ширину плитки измеряют штангенциркулем по двум граням лицевой поверхности на расстоянии не менее 5 мм от грани.
Длину и ширину фигурных плиток измеряют по двум взаимно перпендикулярным прямым, проведенным через центр плитки, максимально ограниченных формой плитки.
Длину и ширину ковра измеряют линейкой в двух местах по крайним рядам плиток на расстоянии не менее 50 мм от граней ковра и по центру ковра.
Ширину шва в коврах измеряют линейкой, прикладывая ее в нескольких местах. При этом результат измерения должен быть в пределах допускаемых отклонений.
За длину и ширину плиток (ковров) принимают среднее арифметическое значение результатов двух измерений.
Толщину плитки измеряют штангенциркулем в четырех местах на расстоянии не менее 15 мм от середины каждой грани к краю плитки.
Высоту рифлений на монтажной поверхности и высоту рельефа на лицевой поверхности плитки следует включать в измеряемую толщину, если нет возможности произвести замер без них.
За толщину плитки принимают среднее арифметическое значение четырех измерений.
1.1.2. Определение разности длин диагоналей ковров
Измерение длин диагоналей ковров проводят линейкой с погрешностью 1 мм.
За результат принимают разность длин измеренных диагоналей.
1.1.3. Контроль кривизны лицевой поверхности
Искривление лицевой поверхности измеряют следующим образом:
при вогнутой поверхности - измерением при помощи щупа (калибра) наибольшего зазора между лицевой поверхностью плитки и ребром металлической линейки, поставленной по диагонали;
при выпуклой поверхности - измерением наибольшего зазора между лицевой поверхностью плитки и ребром металлической линейки, поставленной по диагонали и опирающейся одним концом на щуп (калибр), равный допускаемой величине искривления.
Величину искривления рельефных плиток определяют с монтажной стороны по двум взаимно перпендикулярным направлениям между рифлениями.
За результат измерения принимают наибольшее значение в миллиметрах.
1.1.4. Измерение искривления граней
Контроль искривления граней проводят по п.1.1.3.
Контролируют все прямые грани плитки.
Измерение граней плиток с завалом производят с монтажной стороны до рифлений.
При контроле вогнутой грани плитки за искривление принимают измеренную ширину зазора.
При контроле выпуклой грани плитки за искривление принимают половину суммы толщины щупа (калибра) и измеренной ширины зазора.
1.1.5. Определение косоугольности
Косоугольность плитки определяют с помощью угольника с углом 90° и длиной сторон не менее длины граней измеряемой плитки, измерительного щупа (калибра) или других измерительных инструментов с погрешностью не более 0,1 мм. Для этого угольник прикладывают поочередно к граням плитки и измеряют калибром или щупом наибольший зазор между второй контролируемой гранью плитки и внутренним краем угольника. Угольник прикладывают так, чтобы одна грань плитки плотно лежала на горизонтальной стороне угольника, а другая - касалась вертикальной.
2. КОНТРОЛЬ ВНЕШНЕГО ВИДА
2.1. Сплошной контроль внешнего вида плитки осуществляют визуально на расстоянии не более 1 м от глаза наблюдателя при рассеянном искусственном свете при освещенности от 300 до 400 лк.
Приемочный контроль осуществляют при этих же условиях с укладкой плиток на щите площадью не менее 1 м , расположенном под углом (45±3)° с шириной зазора между плитками до 3 мм.
2.2. Наличие невидимых трещин определяют на слух путем простукивания плиток деревянным или металлическим молоточком массой 0,25 кг.
Плитки, имеющие трещины, при простукивании издают дребезжащий звук.
Измеряемые показатели внешнего вида плиток контролируют штангенциркулем с погрешностью не более 0,1 мм.
2.3. За результат контроля внешнего вида принимают количество плиток, у которых суммарное количество отклонений по показателям внешнего вида превышает установленные в нормативно-технической документации на плитки конкретных видов.
2.4. При контроле цвета (оттенка) плитки укладывают на щите вперемежку с образцами-эталонами. Осмотр проводят с расстояния 1 м при дневном свете.
Соответствие цвета ковров образцам-эталонам проверяют при выборочном контроле осмотром с расстояния 10 м при дневном свете, после предварительного снятия бумаги.
В результате контроля цвета (оттенка) регистрируют видимое расхождение между контролируемыми плитками и образцами-эталонами.
3. ОПРЕДЕЛЕНИЕ ПРОЧНОСТИ НАКЛЕИВАНИЯ
ПЛИТОК НА БУМАГУ
3.1. Прочность наклеивания плиток размерами не более 48х48х4 мм на бумагу в коврах определяют плотным свертыванием ковра в рулон бумагой внутрь и его последующим развертыванием. В начале свертывания ковра два смежных крайних ряда плиток должны соприкасаться сторонами, наклеенными на бумагу.
После трехкратного свертывания и развертывания ни одна плитка не должна оторваться от бумаги.
3.2. Прочность наклеивания плиток размерами св. 48х48х4 до 150х75х7 мм на бумагу в коврах определяют, установив ковер в вертикальное положение не менее чем на 1 мин. При этом ни одна плитка не должна оторваться от бумаги.
4. ОПРЕДЕЛЕНИЕ ПЛОТНОСТИ УКЛАДКИ ПЛИТОК В КОВРАХ
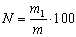
4.1. Плотность укладки плиток в коврах с произвольной укладкой и в коврах типа "брекчия" вычисляют по формуле
, (1)
где - масса проверяемого ковра, г;
- масса основы ковра (бумаги, смазанной клеем), г;
- масса 1 м наклеиваемых плиток, г;
- число ковров, приходящихся на 1 м .
Массу 1 м плиток определяют как среднее арифметическое значение результатов трех взвешиваний 1 м плиток одной партии.
5. ОПРЕДЕЛЕНИЕ ВОДОПОГЛОЩЕНИЯ
5.1. Аппаратура и материалы
Прибор экспресс контроля водопоглощения (ЭКВ).
Весы технические с погрешностью взвешивания не более 0,01 г.
Шкаф сушильный электрический с регулированием температуры до 120°С.
Плита электрическая по ГОСТ 14919-83 или газовая бытовая по ГОСТ 10798 -85.
Сосуд для кипячения с металлической сеткой или проволочной подставкой для образцов.
Вода питьевая по ГОСТ 2874-82.
Мягкая ткань или губка.
5.2. Подготовка образцов
Испытания проводят на целых плитках или на отколотых частях любой формы.
Если масса образца меньше 50 г, то для одного испытания применяют такое количество образцов или отколотых частей, общая масса которых составляет от 50 до 100 г.
Плитки большего размера можно разделить на отдельные части, которые используют для испытаний.
5.3. Проведение испытания
Образцы высушивают до постоянной массы при температуре (110±5)°С, охлаждают и взвешивают с погрешностью не более 0,01 г. Допускается не высушивать образцы, взятые непосредственно после обжига. Образцы помещают в сетчатую подставку так, чтобы они не соприкасались друг с другом. Подставку с образцами помещают в сосуд и заливают водой выше уровня образцов. Воду в сосуде доводят до слабого кипения и кипятят 3 ч. В процессе кипячения воду доливают, чтобы образцы были всегда покрыты водой. Затем образцы оставляют в воде на 24 ч для охлаждения, после чего их вынимают из воды, вытирают влажной губкой или мягкой тканью и взвешивают с погрешностью не более 0,01 г.
5.4. Обработка результатов
Водопоглощение в процентах вычисляют по формуле
, (2)
где - масса образца после кипячения, г;
- масса высушенною образца, г.
5.5. При ускоренном определении водопоглощения плиток допускается проводить насыщение образцов в воде кипячением в течение:
1 ч - плиток для внутренней облицовки стен и полов;
30 мин - плиток фасадных;
15 мин - плиток литых, с последующим охлаждением в проточной воде.
Водопоглощение вычисляют по формуле 2.
Результат расчета водопоглощения округляют до первой значащей цифры после запятой. Если для испытаний использовали отдельные части плиток (см. п. 5.2), то за результат принимают среднее арифметическое значение результатов испытаний всех отдельных частей.
5.6. Определение водопоглощения насыщением под вакуумом
5.6.1. Аппаратура и материалы
Аппаратура по п. 5.1 и черт. 1.
5.6.2. Проведение испытания
Образцы высушенные, охлажденные и взвешенные в порядке, указанном в п. 5.3, помещают в вакуумную камеру 1 (черт. 1), соединенную через электромагнитный клапан 7 с вакуумметром 6 и вакуумным насосом 5. Затем закрывают крышку вакуумной камеры, включают вакуумный насос и откачивают воздух до остаточного давления не более 2,7 кПа (~20 мм рт. ст.). После выдержки 10 с вода бака 4 поступает в вакуумную камеру. Подъем воды продолжают до заданного уровня, который фиксируется сигнализатором уровня воды 8. После чего отключают вакуум-насос и электромагнитный клапан сообщает пространство над водой в вакуумной камере с атмосферой. В этом положении плитки выдерживают еще 60 с. Затем вакуумную камеру открывают и вынимают плитки. Плитки протирают мягкой тканью и взвешивают с погрешностью не более 0,1 г.

1 - сигнализатор уровня воды; 2 - вакуумная камера, 3 - контролируемые плитки;
4 - электромагнитный клапан подачи и слива воды; 5 - бак с водой; 6 - вакуумный насос;
7 - вакуумметр; 8 - электромагнитный клапан сообщения вакуумной камеры с атмосферой.
Черт. 1
5.6.2. Обработка результатов
Водопоглощение вычисляют по формуле 2.
6. ОПРЕДЕЛЕНИЕ ПРЕДЕЛА ПРОЧНОСТИ ПРИ ИЗГИБЕ
6.1.Аппаратура и материалы
Прибор для определения предела прочности при изгибе должен отвечать следующим требованиям:
обе опоры должны иметь возможность качаться около своей горизонтальной оси;
опоры и нажимная кромка должны иметь радиус закругления 10 мм и быть длиннее, чем ширина испытуемого образца; нагружение образца должно быть равномерным и плавным; прокладки из резины следующих размеров: толщина - (2,5±0,5) мм, ширина - (20±5) мм, длина должна быть равна ширине испытуемого образца.
Шкаф сушильный электрический с регулированием температуры до 120°С.
Штангенциркуль по ГОСТ 166-80.
6.2. Проведение испытания
Высушенный образец (плитку) устанавливают на две опоры лицевой поверхностью вверх и в середине образца прикладывают нагрузку (черт. 2). При этом образцы располагают перпендикулярно направлению рифления монтажной поверхности.

Р - нагрузка; - расстояние между опорами:
1 - плитка; 2 - резиновая прокладка: 3 - опора: 4 - нажимная кромка
Черт. 2
Расстояние между опорами выбирают в зависимости от размеров образца и регулируют в пределах от 80 до 90 % его длины.
Нагружение испытуемого образца производят равномерно, без толчков до разрушения.
Нагрузку, зафиксированную при разрушении с погрешностью ±2 %, принимают для расчета предела прочности при изгибе.
6.3. Обработка результатов
Предел прочности при изгибе в МПа (кгс/см ) вычисляют по формуле
, (3)
где - нагрузка в момент разрушения образца, Н;
- расстояние между опорами, см;
- ширина образца, см;
- наименьшая толщина образца без рифлений в месте излома, см.
Предел прочности при изгибе вычисляют как среднее арифметическое результатов испытаний всех образцов.
7. ОПРЕДЕЛЕНИЕ ИЗНОСОСТОЙКОСТИ
НЕГЛАЗУРОВАННЫХ ПЛИТОК ДЛЯ ПОЛОВ
7.1. Аппаратура и материалы
Шкаф сушильный электрический с регулированием температуры до 120°С.
Весы технические с погрешностью взвешивания не более 0,01 г.
Прибор ЛКИ-З или прибор, приведенный на черт. 3.
Штангенциркуль по ГОСТ 166-80.
Корунд синтетический с зернами размером от 0,20 до 0,16 мм по ГОСТ 22028-76 или песок кварцевый фракций от 0,5 до 0,25 мм (50 %) и от 0,25 до 0,16 мм (50 %) по ГОСТ 22551- 77.
Прибор для испытания (см. черт. 3) состоит из горизонтального металлического шлифовального диска 4 на вертикальном приводном валу, держателя 1, испытуемого образца 2 и нагрузочного устройства 5. Образец удерживает квадратная с одной стороны открытая рамка, нижняя грань которой находится на (3±1) мм выше шлифовального диска. За держателем образца расположены два резиновых скребка 3, которые направляют абразивный материал так, чтобы он попадал на центр набегающей грани образца.

1 - держатель; 2 - испытуемый образец; 3 - резиновый скребок;
4 - шлифовальный диск; 5 - нагрузочное устройство
Черт. 3
Нагрузочное устройство должно обеспечивать равномерное давление на образец 0,06 MПa (0,6 кгс/см ). Скорость вращения шлифовального диска должна быть (30±1) об/мин.
7.2. Подготовка образцов
Испытание проводят на квадратных образцах неглазурованных плиток для полов со сторонами размером (70±1) мм или (50±1) мм. Из плиток большего размера выпиливают образцы указанных размеров.
7.3. Проведение испытания
Образец плитки для полов высушивают при температуре (110±5)°С до постоянной массы. Высушенный образец взвешивают с погрешностью не более 0,01 г, измеряют его длину и ширину с погрешностью не более 0,1 мм. Взвешенный и измеренный образец помещают в держатель лицевой поверхностью к шлифовальному диску и нагружают его так, чтобы было обеспечено давление 0,06 МПа. На шлифовальную дорожку насыпают равномерно слой абразивного материала в количестве 0,4 г на 1 см поверхности образца и шлифовальный диск включают на 1 мин. После 30 оборотов диска машину выключают, образец вынимают, тщательно очищают и взвешивают с погрешностью не более 0,01 г. Шлифовальный диск очищают от отработанного абразивного материала.
Затем испытуемый образец поворачивают на 90° и снова шлифуют с новой порцией абразивного материала. Этот процесс повторяют четыре раза на тех же образцах, каждый раз поворачивая образец на 90°.
Если расхождение между наименьшей и наибольшей потерями массы после отдельных циклов меньше 3% общей потери массы после четырех циклов, то испытание считают завершенным. Если это расхождение больше, то испытание продолжают тем же способом и проводят 12 циклов шлифования на тех же образцах.
7.4. Обработка результатов
Износостойкость в г/см вычисляют но формулам:
, (4); , (5)
где - суммарная потеря массы после 4 циклов, г;
- суммарная потеря массы после 12 циклов, г;
- шлифованная площадь образца, см .
8. ОПРЕДЕЛЕНИЕ ИЗНОСОСТОЙКОСТИ
ГЛАЗУРОВАННЫХ ПЛИТОК ДЛЯ ПОЛОВ
8.1. Аппаратура и материалы
Прибор для испытания (черт. 4), состоящий из основной несущей плиты 1, приводимой в эксцентрическое круговое движение валом 2 со скоростью вращения 300 об/мин при эксцентриситете 22,5 мм, испытуемого образца 3, прижимаемого к основной плите с помощью накладок 5 с резиновыми шайбами 4, которые ограничивают внутреннюю площадь шайбы, равную 54 см , и заполняются заданным количеством шлифовальной смеси.
Шкаф электрический сушильный с регулированием температуры до 120°С.
Весы технические с погрешностью взвешивания не более 0,01 г.
Стальные шарики диаметром 1, 2, 3 и 5 мм.
Корунд синтетический с зернами размером от 0,125 до 0,160 мм.
Мерный цилиндр вместимостью 20 см .
Сито с отверстиями от 0,63 до 0,7 мм по ГОСТ 3584-73.

1 - несущая плита; 2 - вал; 3 - испытуемый образец;
4 - резиновая шайба; 5 накладка
Черт. 4
8.2. Подготовка образцов
Для испытания применяют образцы глазурованных плиток для полов размерами 100х100 мм. Из плиток большего размера соответственно выпиливают образцы указанных размеров, а из мелких плиток готовят ковер для испытания. Для испытания готовят не менее 16 образцов. Из этого количества 8 шт. плиток подвергают истиранию, а 8 оставляют для визуального сравнения.
8.3. Проведение испытаний
Восемь очищенных от пыли и высушенных в сушильном шкафу образцов укрепляют в приборе для испытания. В шайбы, ограничивающие площадь 54 см , помещают шлифовальную смесь следующего состава:
175 г смеси стальных шариков, состоящей из:
5 % (8,75 г) шариков диаметром 1 мм,
25 % (43,75 г) шариков диаметром 2 мм;
30 % (52,50 г) шариков диаметром 3 мм;
40 % (70,00 г) шариков диаметром 5 мм;
3 г искусственного корунда;
20 см дистиллированной воды.
Прибор приводят в движение, а затем последовательно после 150, 300, 450, 600, 900, 1200, 1500 и более 1500 оборотов плиты извлекают по одному образцу из прибора. Приспособления для шлифования ополаскивают водой на ситах с отверстиями от 0,63 до 0,7 мм. Стальные шарики, после удаления с них абразивного материала, высушивают и применяют для дальнейших испытаний.
8.4. Обработка результатов
Очищенные от пыли и высушенные образцы последовательно после каждого цикла вкладывают в середину квадрата, составленного из 8 плиток, оставленных для сравнения. Квадрат из плиток рассматривают с расстояния 2 м с высоты человеческого роста при освещенности 300-400 лк в закрытом помещении. По циклу испытания, в котором обнаружено первое видимое повреждение или изменение поверхности испытуемого образца, для плиток устанавливают степень износостойкости в соответствии с табл. 1.
Таблица 1
Степень износостойкости
|
Цикл испытания
|
Количество оборотов плиты прибора
|
1
|
1
|
150
|
2
|
2
3
4
|
300
450
600
|
3
|
5
6
7
|
900
1200
1500
|
4
|
8
|
Более 1500
|
9. ОПРЕДЕЛЕНИЕ ТЕРМИЧЕСКОЙ СТОЙКОСТИ
9.1. Аппаратура и материалы
Шкаф сушильный электрический с регулированием температуры до 150°С.
Подставка для установки образцов в наклонном положении таким образом, чтобы они не соприкасались друг с другом.
Раствор органического красителя (чернила).
9.2. Проведение испытания
Образцы (сухие неповрежденные плитки) ставят на подставку и вместе с ней помещают в нагретый сушильный шкаф.
При достижении температуры в шкафу 100°С (для плиток литых, фасадных и плиток для полов) или 125, 150°С (для плиток для внутренней облицовки стен) образцы выдерживают в течение:
10 мин - для плиток литых;
20 мин - для плиток фасадных и для полов;
30 мин - для плиток для внутренней облицовки стен;
60 мин - для плиток, поставляемых на экспорт.
После выдержки плитки вынимают из шкафа и сразу опускают в сосуд с проточной водой, температура которой плюс 15-20°С так, чтобы плитки полностью покрывались водой. После охлаждения плитки вынимают из воды и на их глазурованную поверхность наносят несколько капель органического красителя и протирают мягкой тканью.
9.3. Обработка результатов
Плитки считают термически стойкими, если в результате однократного испытания не будет обнаружено повреждение их глазурованной поверхности.
10. ОПРЕДЕЛЕНИЕ МОРОЗОСТОЙКОСТИ
10.1. Аппаратура и принадлежности
Морозильная камера, обеспечивающая температуру от минус 15 до минус 20°С.
Термостат или другой прибор, обеспечивающий поддержание температуры воды в сосуде от 15 до 20°С.
Сосуд с деревянной решеткой.
Контейнер для укладки образцов.
10.2. Подготовка образцов
Для определения морозостойкости по степени повреждения используют целые неповрежденные плитки.
Насыщение образцов водой производят двумя способами.
1-й способ
Образцы насыщают водой таким же способом, что и при определении водопоглощения (п. 5.3).
2-й способ
Образцы высушивают до постоянной массы при температуре (110±5)°С и охлаждают. Образцы укладывают в сосуд с водой, температура которой плюс 15-20°С, в один ряд на решетку так, чтобы уровень воды в нем был выше верха образцов на 20-100 мм. Образцы выдерживают в воде в течение 48 ч, после чего вынимают из сосуда и протирают влажной тканью.
10.3. Проведение испытаний
Насыщенные образцы помещают в контейнер так, чтобы они не соприкасались. При размещении образцов в несколько рядов по высоте отдельные ряды разделяют прокладками высотой не менее 20 мм.
Общий объем контейнера с образцами не должен превышать 50 % объема морозильной камеры. Образцы замораживают не менее 2 ч при температуре в морозильной камере от минус 20 до минус 15°С. Температуру в камере минус 15°С считают началом замораживания образцов. После 2 ч замораживания контейнер с плитками полностью погружают в сосуд с водой, температура которой должна быть плюс 15-20°С. Эту температуру поддерживают в течение всего периода оттаивания образцов, т.е. не менее половины продолжительности их замораживания. Одно замораживание и оттаивание составляет один цикл испытания. В случае временного прекращения испытания образцы после оттаивания должны храниться в воздушной среде.
10.4. Обработка результатов
Образцы осматривают через каждые 5 циклов, если требуемое количество циклов менее 35, и через каждые 10 циклов, если большее количество циклов. Выявление повреждений образцов (разрушение, образование трещин, расслоение и т. п.) проводят после их оттаивания.
Образцы считают морозостойкими, если после требуемого числа циклов не было обнаружено их повреждение. Если повреждение образцов наступило раньше, указывают то количество циклов, при котором было обнаружено повреждение.
11. Определение кислото- и щелочестойкости
11.1. Аппаратура и реактивы
Шкаф сушильный электрический с регулированием температуры до 120°С.
Весы лабораторные с погрешностью взвешивания не более 0,001 г по ГОСТ 24104-80.
Сита из сетки с ячейками размерами 0,100; 0,500; 0,630; 0,800 мм по ГОСТ 3584-73.
Холодильник стеклянный по ГОСТ 23932-79.
Водоструйный вакуумный насос по ГОСТ 23932-79.
Эксикатор по ГОСТ 23932-79.
Баня песчаная или масляная.
Колбы конические вместимостью 500 см по ГОСТ 23932-79.
Тигли фильтровальные фарфоровые или стеклянные вместимостью около 50 м .
Кислота серная, 70%-ный раствор по ГОСТ 4204-77.
Натрия гидроокись, 1 %-ный раствор по ГОСТ 4328-77.
Хлорид бария по ГОСТ 4108-72.
Вода дистиллированная по ГОСТ 6709-72.
11.2. Подготовка образцов
Образец изделия измельчают до полного прохождения через сито с сеткой № 08 (при определении кислотостойкости) или № 05 (при определении щелочестойкости).
Для плиток, предназначенных на экспорт, с образцов перед измельчением удаляют глазурь.
Затем подготовленную пробу просеивают через сито с сеткой № 063 (при определении кислотостойкости) или № 01 (при определении щелочестойкости).
Остаток на сите промывают дистиллированной водой для удаления пылевидной части и высушивают при температуре (110±5)°C до постоянной массы.
Высушенную пробу охлаждают и эксикаторе и для испытания берут навески по 20 г каждая с погрешностью не более 0,001 г; проводят не менее двух параллельных испытаний.
11.3. Проведение испытания
11.3.1. Определение кислотостойкости
Навеску пробы массой 20 г помещают в коническую колбу вместимостью 500 см и наливают 200 см раствора серной кислоты. Колбу соединяют с обратным холодильником и на песчаной или масляной бане доводят до кипения в течение 30 мин. Слабое кипячение поддерживают в течение 6 ч, после чего колбу снимают с бани и оставляют на 1 ч для охлаждения. Затем отстоявшийся раствор сливают, в колбу доливают дистиллированной воды до объема 500 см и все содержимое колбы фильтруют через высушенный до постоянной массы и взвешенный фильтровальный тигель.
Раствор отсасывают водоструйным вакуумным насосом. Остаток на тигле промывают водой до отрицательной реакции фильтрата на серную кислоту при добавлении хлорида бария (в фильтрате не должно быть помутнения). Тигель с остатком высушивают при температуре (110±5)°С до постоянной массы. Перед каждым взвешиванием тигель с остатком охлаждают в эксикаторе.
Рассчитывают окончательную массу остатка.
11.3.2. Определение щелочестойкости
Навеску пробы массой 20 г помещают в коническую колбу вместимостью 500 см и наливают 200 см раствора гидроокиси натрия. Колбу соединяют с обратным холодильником и на песчаной или масляной бане доводят до кипения в течение 30 мин. Слабое кипячение поддерживают в течение 6 ч. Затем колбу снимают с бани и охлаждают. Содержимое колбы доливают дистиллированной водой до 500 см и после 1 ч отстаивания декантируют. Колбу вновь доливают дистиллированной водой до 500 см , оставляют на ночь и на второй день вновь декантируют. Остаток переносят в сухой взвешенный фильтровальный тигель и промывают его дистиллированной водой, нагретой до 60-70°С. Раствор отсасывают водоструйным вакуумным насосом. Затем остаток в тигеле высушивают при температуре (110±5)°С до постоянной массы. Перед каждым взвешиванием тигель с остатком охлаждают в эксикаторе.
Вычисляют окончательную массу остатка.
11.4. Обработка результатов
11.4.1. Кислотостойкость в процентах вычисляют по формуле
, (6)
где - масса остатка после действия кислоты, г;
- масса высушенной навески, г.
11.4.2. Щелочестойкость в процентах вычисляют по формуле
, (7)
где - масса остатка после действия щелочи, г;
- масса высушенной навески, г.
За окончательный результат принимают среднее арифметическое значение результатов двух параллельных испытаний, расхождение между которыми не должно превышать 0,5%, и результат расчета округляют до первой значащей цифры после запятой.
12. ОПРЕДЕЛЕНИЕ ХИМИЧЕСКОЙ СТОЙКОСТИ ГЛАЗУРИ
12.1. Аппаратура и реактивы
Цилиндр из химически стойкого стекла диаметром около 80 мм и высотой не менее 50 мм.
Мастика уплотняющая по ГОСТ 14791-79.
Метанол или этанол по ГОСТ 25742.1-83 - ГОСТ 25742.4-83.
Вода дистиллированная по ГОСТ 6709-72.
Растворы для испытания:
№ 1 - раствор соляной кислоты, приготовленный из 30 см соляной кислоты по ГОСТ 3118-77 плотностью 1,19 г/см и 970 см дистиллированной воды по ГОСТ 6709-72;
№ 2 - раствор гидроокиси кальция х. ч., приготовленный из 30 г на 1 дм по ГОСТ 9285- 78;
№ 3 - стандартный раствор, приготовленный из следующих компонентов:
33% углекислого натрия безводного по ГОСТ 2156-76;
7% тетрабората натрия ( ) по ГОСТ 4199-76;
7% силиката натрия плотностью 1,33 г/см по ГОСТ 13079-81;
30% мыльных хлопьев из олеата натрия (допускается приготавливать из гидроокиси натрия и олеиновой кислоты в соотношении 2,6:18,5);
23 % дистиллированной воды.
После перемешивания компонентов раствор высушивают при температуре 105°С и из 10 г сухого вещества готовят 1 дм раствора для испытания.
12.2. Подготовка образцов
Для испытания применяют целые плитки, глазурованная поверхность которых не должна быть повреждена.
Плитки тщательно очищают метанолом или этанолом.
12.3. Проведение испытаний
Стеклянный цилиндр приклеивают уплотняющей мастикой к глазурованной поверхности образца и наполняют его одним из растворов, указанных в п. 12.1, на высоту (20±1) мм. Растворы № 1 и 2 с образцами выдерживают при температуре (20±5)°С в течение 7 сут. Один раз в сутки образцы легко постукивают, а после 4 сут растворы обновляют. Раствор № 3 оставляют на поверхности образца 6 ч.
После выдерживания раствор выливают, стеклянный цилиндр снимают, глазурованную поверхность тщательно очищают метанолом или этанолом и высушивают.
12.4. Обработка результатов
Глазурь считают химически стойкой к действию отдельных растворов, если при осмотре с расстояния 25 см при дневном свете нет явного изменения испытуемой поверхности по сравнению с исходной поверхностью. Особое внимание обращают на изменение блеска глазури и окраски испытуемой поверхности или рисунка.
13. ОПРЕДЕЛЕНИЕ ТВЕРДОСТИ ЛИЦЕВОЙ
ПОВЕРХНОСТИ ПО МООСУ
Твердость лицевой поверхности контролируют с помощью пробных минералов, указанных в табл. 2.
Таблица 2
Минерал
|
Твердость по Моосу
|
Тальк
Гипс
Известняк
Флюорит
Апатит
Полевой шпат
Кварц
Топаз
Корунд
Алмаз
|
1
2
3
4
5
6
7
8
9
10
|
Для контроля испытуемый образец помещают на прочную подставку.
Острой гранью пробного минерала легким и равномерным нажатием проводят по лицевой поверхности испытуемого образца, затем образец осматривают.
Твердость лицевой поверхности образца соответствует твердости того пробного минерала, который предшествует минералу, повреждающему поверхность образца.
14. ОПРЕДЕЛЕНИЕ ТЕМПЕРАТУРНОГО КОЭФФИЦИЕНТА
ЛИНЕЙНОГО РАСШИРЕНИЯ
Определение предназначено для подбора масс и глазурей при изменении технологических параметров.
14.1. Аппаратура
Дилатометр марки ДКВ производства ГИС (ДКВ-2, ДКВ-4А, ДКВ-5А).
Шкаф сушильный электрический с регулированием температуры до 250°С.
Штангенциркуль по ГОСТ 166-80.
Эксикатор по ГОСТ 23932-79.
14.2. Подготовка образцов
Из плитки выпиливают 2 образца длиной (50±1) мм и сечением [(5х5) ±0,5] мм. Торцевые грани образцов должны быть пришлифованы таким образом, чтобы они были взаимно параллельны и перпендикулярны к продольной оси образца.
14.3. Проведение испытаний
Образец высушивают в течение 1 ч при температуре 250°С, после чего помещают в эксикатор для остывания до температуры помещения. После чего штангенциркулем измеряют длину образца. Образец помещают в дилатометр и нагревают со скоростью подъема температуры (5±1)°C в минуту до 600°С.
Изменения длины образца регистрируют с погрешностью не более 0,001 мм.
14.4. Обработка результатов
Температурный коэффициент линейного расширения вычисляют по формуле
, (8)
где - исходная длина образца, мм;
- изменение длины образца, мм;
- интервал температур, °С,
- поправка на расширение кварцевого стекла трубки дилатометра в интервале от комнатной температуры до 600°С.
Результат расчета для обоих образцов округляют до 0,1·10 °С.
Температурный коэффициент линейного расширения вычисляют как среднее арифметическое результатов двух испытаний.
СОДЕРЖАНИЕ
1. КОНТРОЛЬ ЛИНЕЙНЫХ РАЗМЕРОВ И ПРАВИЛЬНОСТИ ФОРМЫ
2. КОНТРОЛЬ ВНЕШНЕГО ВИДА
3. ОПРЕДЕЛЕНИЕ ПРОЧНОСТИ НАКЛЕИВАНИЯ ПЛИТОК НА БУМАГУ
4. ОПРЕДЕЛЕНИЕ ПЛОТНОСТИ УКЛАДКИ ПЛИТОК В КОВРАХ
5. ОПРЕДЕЛЕНИЕ ВОДОПОГЛОЩЕНИЯ
Черт. 1
6. ОПРЕДЕЛЕНИЕ ПРЕДЕЛА ПРОЧНОСТИ ПРИ ИЗГИБЕ
Черт. 2
7. ОПРЕДЕЛЕНИЕ ИЗНОСОСТОЙКОСТИ НЕГЛАЗУРОВАННЫХ ПЛИТОК ДЛЯ ПОЛОВ
Черт. 3
8. ОПРЕДЕЛЕНИЕ ИЗНОСОСТОЙКОСТИ ГЛАЗУРОВАННЫХ ПЛИТОК ДЛЯ ПОЛОВ
Черт. 4
9. ОПРЕДЕЛЕНИЕ ТЕРМИЧЕСКОЙ СТОЙКОСТИ
10. ОПРЕДЕЛЕНИЕ МОРОЗОСТОЙКОСТИ
11. Определение кислото- и щелочестойкости
12. ОПРЕДЕЛЕНИЕ ХИМИЧЕСКОЙ СТОЙКОСТИ ГЛАЗУРИ
13. ОПРЕДЕЛЕНИЕ ТВЕРДОСТИ ЛИЦЕВОЙ ПОВЕРХНОСТИ ПО МООСУ
14. ОПРЕДЕЛЕНИЕ ТЕМПЕРАТУРНОГО КОЭФФИЦИЕНТА ЛИНЕЙНОГО РАСШИРЕНИЯ
|